Chapter:

Chemical-Arithmetic

1. Which of following will have highest pKb value?


2. Identify most suitable reagent for converting benzene diazonium chloride to chlorobenzene.


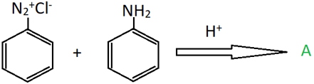
3. Identify colour of compound ‘A’ from following reaction.


4. It is possible to obtain para isomers of anilines as major product in electrophilic ring substitution of aniline.


5. What is correct order of basic strength of following ethyl substituted amines in aqueous solution? (R=ethyl group)


6. When benzenediazonium chloride is treated with hypophosphorous acid, product obtained is ______


7. Benzenediazonium chloride is __ in water.


8. The equilibrium constant of reaction of amines with _____ is taken as a measure of its basic character.


9. What is correct order of basic strength of following compounds?


10. The intermolecular hydrogen bonds, if any, in amines is formed between ___


All Chapters

View all Chapter and number of question available From each chapter from Chemistry-Modal-Exam

Chemical Arithmetic

Various Shortcut Methods for solving MCQ problems from chapter Chemical Arithmetic which are important for various entrance exams like IOE, Pulchowk (TU),Indian Embassy, KU,BPKIHS,IIT exams

Volumetric Analysis

This chapter includes sufficient number of multiple choice questions with necessary hints.

Ionic Equilibrium

Language Of Chemistry

Various Shortcut Methods for solving MCQ problems from chapter Language Of Chemistry which are important for various entrance exams like IOE, Pulchowk (TU),Indian Embassy, KU,BPKIHS,IIT exams

Introduction to Metallurgy

Various Shortcut Methods for solving MCQ problems from chapter Introduction to Metallurgy which are important for various entrance exams like IOE, Pulchowk (TU),Indian Embassy, KU,BPKIHS,IIT exams

Alkali Metals and their Compounds

Various Shortcut Methods for solving MCQ problems from chapter Alkali Metals and their Compounds which are important for various entrance exams like IOE, Pulchowk (TU),Indian Embassy, KU,BPKIHS,IIT exams

Copper and Its Compounds

Various Shortcut Methods for solving MCQ problems from chapter Copper and Its Compounds which are important for various entrance exams like IOE, Pulchowk (TU),Indian Embassy, KU,BPKIHS,IIT exams

Zinc

Various Shortcut Methods for solving MCQ problems from chapter Zinc which are important for various entrance exams like IOE, Pulchowk (TU),Indian Embassy, KU,BPKIHS,IIT exams

Iron

Various Shortcut Methods for solving MCQ problems from chapter Iron which are important for various entrance exams like IOE, Pulchowk (TU),Indian Embassy, KU,BPKIHS,IIT exams

Chemical Bond

Various Shortcut Methods for solving MCQ problems from chapter Chemical Bond which are important for various entrance exams like IOE, Pulchowk (TU),Indian Embassy, KU,BPKIHS,IIT exams. The basic topic included are
  • Electronic Theory of valency
  • Types and properties of Chemical Bond
  • Lewis Dot Structures and Octet rule
  • Polar and non polar bonds
  • Dipole Moment
  • Fajans Rule
  • Hydrogen and Metallic Bond

Radioactivity

Various Shortcut Methods for solving MCQ problems from chapter Iron which are important for various entrance exams like IOE, Pulchowk (TU),Indian Embassy, KU,BPKIHS,IIT exams

State of Matter-Solid,Liquid and gaseous state

Various Shortcut Methods for solving MCQ problems from chapter State of Matter which are important for various entrance exams like IOE, Pulchowk (TU),Indian Embassy, KU,BPKIHS,IIT exams

Chemical Airthmetics Model Exam

Model Exam of chemical Airthmetics with complete Solutions...

Atomic Structure Model Exam

A model exam of Atomic Structure including all possible questions for IOE and IOM entrance examinations.

Periodic Table Model Exam

Periodic Table Model Exam

The Chemical Bond

This chapter includes sufficient number of multiple choice questions with necessary hints....

OXIDATION AND REDUCTION

This chapter includes a sufficient number of multiple-choice questions with necessary hints.......

Electro-Chemistry

This chapter includes sufficient number of multiple choice questions with necessary hints....

CHEMICAl KNEMATICS

This chapter includes sufficient number of multiple choice questions with necessary hints.......

Chemistry Basic Concepts

chemistry mcqs

Structure of Atom

chemistry mcqs

Classification of Elements and Periodicity in Properties

chemistry mcqs

Chemical Bonding and Molecular Structure

chemistry mcqs

States of Matter

chemistry mcqs

Thermodynamics

chemistry mcqs

Equilibrium

chemistry mcqs

Redox Reactions

chemistry mcqs

Hydrogen

chemistry mcqs

s-Block Elements

chemistry mcqs

p-Block Elements

chemistry mcqs

Organic Chemistry – Basic Principles and Technique

chemistry mcqs

Hydrocarbons

chemistry mcqs

Environmental Chemistry

chemistry mcqs

Solid State

chemistry mcqs

Solutions

chemistry mcqs

Electrochemistry

chemistry mcqs

Chemical Kinetics

chemistry mcqs

Surface Chemistry

chemistry mcqs

General Principles and Processes of Isolation of Elements

chemistry mcqs

P-Block Elements

chemistry mcqs

D and F-Block Elements

chemistry mcqs

Coordination Compounds

chemistry mcqs

Haloalkanes and Haloarenes

chemistry mcqs

Alcohols, Phenols and Ethers

chemistry mcqs

Aldehydes, Ketones and Carboxylic Acids

chemistry mcqs

Amines

chemistry mcqs

Biomolecules

chemistry mcqs

Polymers

chemistry mcqs

Chemistry in Everyday Life

chemistry mcqs