Chapter:

Biomolecules

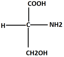
A nucleoside consists of _____


All Chapters

View all Chapter and number of question available From each chapter from Biology-MCQS

The Living World

Biology mcqs

Biological Classification

Biology mcqs

Plant Kingdom

Biology mcqs

Animal Kingdom

Biology mcqs

Morphology of Flowering Plants

Biology mcqs

Anatomy of Flowering Plants

Biology mcqs

Structural Organisations in Animals

Biology mcqs

Cell : The Unit of Life

Biology mcqs

Biomolecules

Biology mcqs

Cell Cycle and Cell Division

Biology mcqs

Transport in Plants

Biology mcqs

Mineral Nutrition

Biology mcqs

Photosynthesis in Higher Plants

Biology mcqs

Respiration in Plants

Biology mcqs

Plant Growth and Development

Biology mcqs

Digestion and Absorption

Biology mcqs

Breathing and Exchange of Gases

Biology mcqs

Body Fluids and Circulation

Biology mcqs

Excretory Products and Elimination

Biology mcqs

Locomotion and Movement

Biology mcqs

Neural Control and Coordination

Biology mcqs

Chemical Control and Coordination

Biology mcqs

Reproduction in Organisms

Biology mcqs

Sexual Reproduction in Flowering Plants

Biology mcqs

Human Reproduction

Biology mcqs

Reproductive Health

Biology mcqs

Principles of Inheritance and Variation

Biology mcqs

Molecular Basis of Inheritance

Biology mcqs

Evolution

Biology mcqs

Human Health and Disease

Biology mcqs

Strategies for Enhancement in Food Production

Biology mcqs

Microbes in Human Welfare

Biology mcqs

Biotechnology Principles and Processes

Biology mcqs

Biotechnology and its Applications

Biology mcqs

Organisms and Populations

Biology mcqs

Ecosystem

Biology mcqs

Biodiversity and Conservation

Biology mcqs

Environmental Issues

Biology mcqs